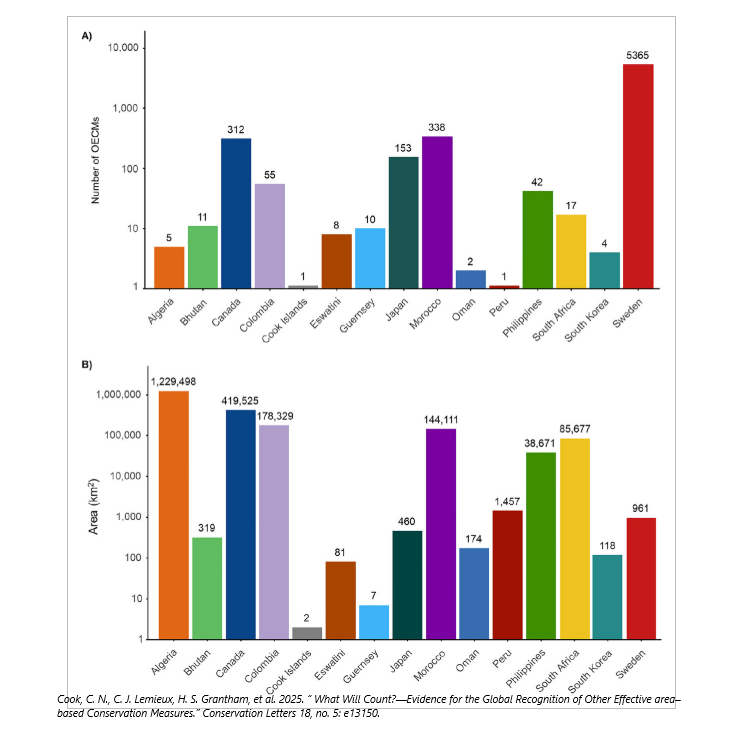
Other effective area–based conservation measures (OECMs) are anticipated to play an important role in progress towards global protection targets, with progress being judged on the basis of the areas reported to the World Database on Other Effective area-based Conservation Measures (WD-OECM). Given concerns that OECMs may be designated inappropriately, in this study we asked what evidence has been provided to show that sites have been assessed against the criteria to be OECMs. We found <5% of the 6,482 sites in the dataset provide supporting information of any kind, and 2.2% of sites have features that conflict with the definition of an OECM. Although our results cannot determine if sites genuinely meet the criteria to be recognized as OECMs, they reveal a significant issue with the ability to verify whether sites should be in the WD-OECM. To increase the credibility of OECMs, we recommend sites be classed as unconfirmed until they can demonstrate they meet the relevant criteria.

Learn more

Cook, C. N., C. J. Lemieux, H. S. Grantham, et al. 2025. “ What Will Count?—Evidence for the Global Recognition of Other Effective area–based Conservation Measures.” Conservation Letters 18, no. 5: e13150.