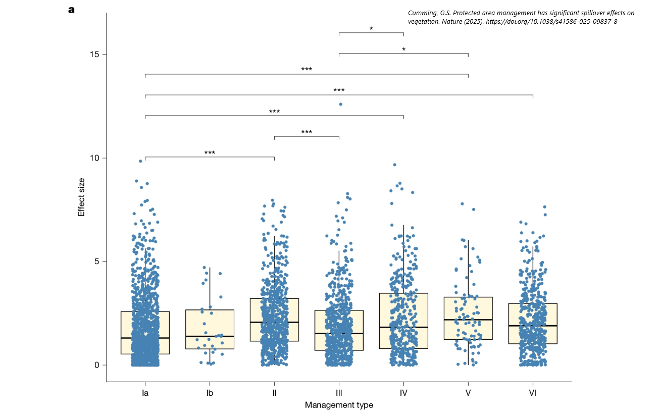
The Kunming–Montreal Global Biodiversity Framework calls for rapid global expansion of protected areas in response to ongoing biodiversity loss and ecosystem degradation1. One of its strongest selling points is the benefits protected areas provide to adjacent human communities2,3. However, little attention has been paid to how policy and management can support such benefits. Here, to address this gap, I explored influences on the effect sizes of vegetation spillovers from a candidate 12,513 Australian protected areas, defining spillovers as the difference in vegetation outside a protected area that occurs as a consequence of the existence of the protected area4. In 2020, 71% (2,189) out of the 3,063 protected areas for which full analysis was possible had a positive spillover effect of 0.1 or greater on at least 1 of 10 vegetation cover classes. Many protected area types were significant predictors of spillover magnitude. The covariance explained by protected area type with local and contextual variables was 14%, suggesting that internal management moderates adjacent locations. These findings highlight the potential to include spillover effects explicitly in global policy frameworks and suggest a pathway to an empirical basis for monitoring and accounting schemes that support biodiversity conservation and ecosystem service provision adjacent to protected areas.

Learn more

Cumming, G.S. Protected area management has significant spillover effects on vegetation. Nature (2025). https://doi.org/10.1038/s41586-025-09837-8